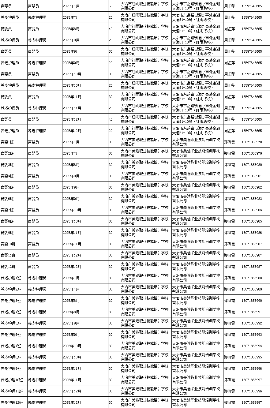
处于未就业、灵活就业状态的“九类人员”可享受补贴性就业技能培训和创业培训,欢迎广大劳动者踊跃报名!
“九类人员”:指的是城镇登记失业人员、农村转移就业劳动者(含失地农民)、城乡未继续升学的应届初高中毕业生、就业困难人员、脱贫劳动力(含防返贫监测对象)、毕业年度(毕业当年的1月1日至12月31日)高校毕业生(含技师学院高级工班、预备技师班、技师班和特殊教育院校职业教育类毕业生)、余刑两年内的服刑人员(含社区矫正对象)、戒毒康复人员(含强制隔离戒毒人员、社区戒毒康复人员)、省委、省政府批准的其他人员。








